Sine
Relation between Acceleration, Velocity, and Displacement
The formulas here describe the relation between acceleration, velocity, and displacement. The formulas are:
where:
- A – acceleration in m/s2;
- V – velocity in m/s;
- D – displacement in m. Please note that displacement D is listed in a zero-to-peak value;
- F – sine frequency in Hz.
We then use the above relations to derive the formulas for crossover points in Sine tests:
where:
- A – acceleration in m/s2
- V – velocity in m/s;
- D – displacement in m. Please, note that displacement D is listed in zero-to-peak value;
- Dmm – displacement D in mm.
- F(A-V) — crossover point between acceleration and velocity;
- F(V-D) — crossover point between velocity and displacement;
- F(A-D) — crossover point between acceleration and displacement.
Sweep rate calculations
There are two common sweep rate types in Sine: linear and logarithmic. The linear sweep rate is usually nominated in Hz/sec, the logarithmic — in oct/min.
We can calculate the sweep time of a linear sweep using the following formula:
where:
- Tlin – sweep time in seconds;
- Fe – end sweep frequency;
- Fs – start sweep frequency;
- S – sweep rate.
Vice versa, the required sweep rate can be calculated using the desired sweep time:
If we are speaking of the logarithmic sweep rate, the base term here is an octave – the interval between a frequency and its double value.
Therefore, if we want to know the number of octaves between sweep frequencies, we have to use the formula below:
Using the formula below, we can calculate the sweep time of a logarithmic sweep:
where Tlog is the logarithmic sweep time in seconds.
The required sweep rate also can be calculated using the following formula:
Random vibration
Calculation of Acceleration RMS value
Generally, a random profile is defined as a table of PSD and frequency, as shown below:
|
Frequency (Hz) |
Amplitude, EU2/Hz |
|
20 |
0.01 |
|
80 |
0.05 |
|
350 |
0.05 |
|
2000 |
0.01 |
Let PSD be defined by (fi, Gi) where fi is the frequency (Hz) and Gi is the amplitude (EU2/Hz).
There are two common ways to interpret the frequencies between each breakpoint in the Random profile. The most common method is Log-Log (meaning the log of the amplitudes scales with the log of the frequencies.) Another method is Log-Linear, where the log of the amplitudes scales directly with the frequencies).
In this post, we will show how to calculate the acceleration, velocity and displacement RMS values of a Log-Log and Log-Linear Random profile.
RMS Calculation (Log-Log)
Let (f0, G0), (f1, G1) be the left and right breakpoint for Random PSD.
PSD value G for frequency f where f0 < f < f1:
log(G(f)) = log(G0) + b (log(f) - log(f0))
G(f) = G0 (f / f0)b
where:
b = log(G1 / G0) / log(f1 / f0)
Acceleration
PSD is defined as a series of breakpoints (fi, Gi), so the total RMS is calculated as:

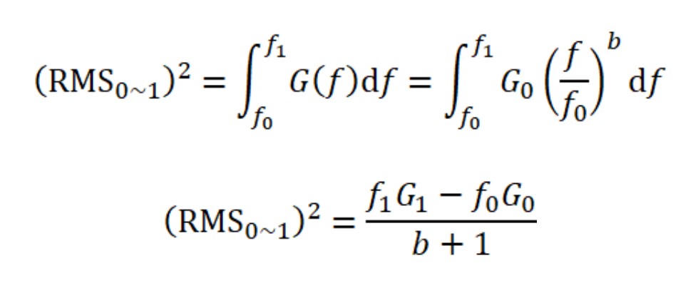
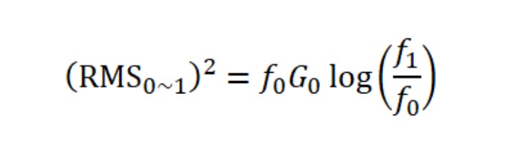
To calculate the RMS from frequency range f0 to f1:

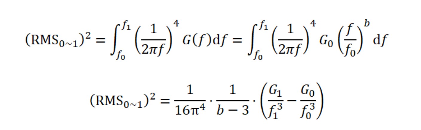
If b = -1:

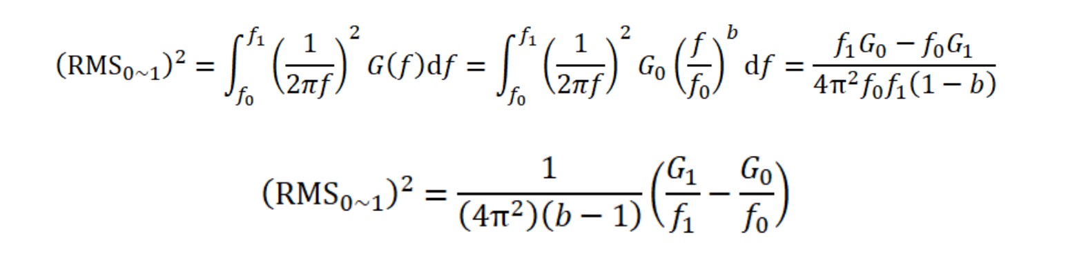
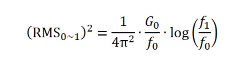
Velocity (Log-Log)
To calculate the RMS from frequency range f0 to f1:

If b = 1:

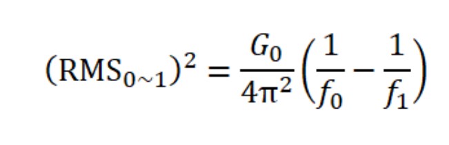
Displacement (Log-Log)
To calculate the RMS from frequency range f0 to f1:

RMS Calculation
Let (f0, G0), (f1, G1) be the left and right breakpoint for Random PSD.
PSD value G for frequency f where f0 < f < f1:
log(G(f)) = af + b
G(f) = eaf + b
where:

Acceleration (Linear-Log)
PSD is defined as a series of breakpoints (fi, Gi), so the total RMS is calculated as:

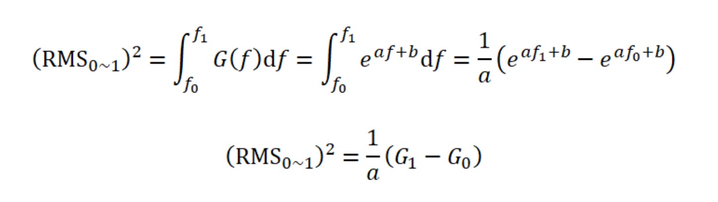
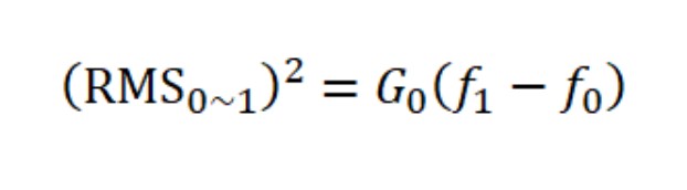
If G0 = G1, a = 0:

Velocity (Linear-Log)
To calculate the RMS from frequency range f0 to f1:

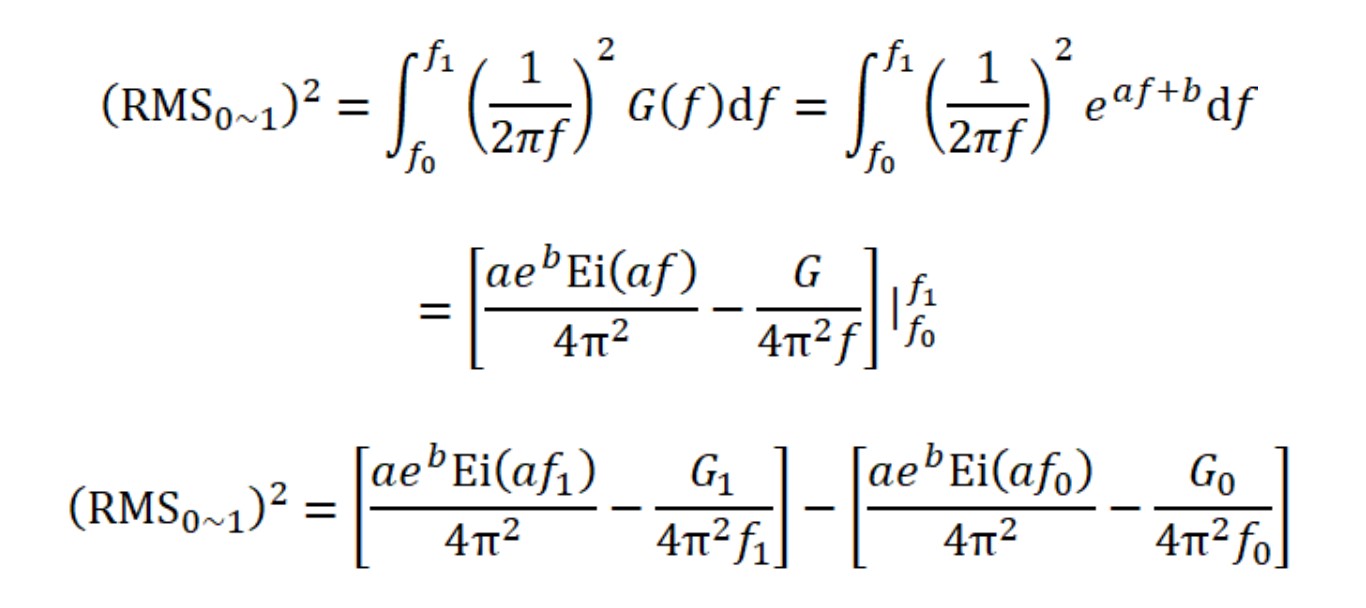
where Ei is the exponential integral function:

If G0 = G1, a = 0:

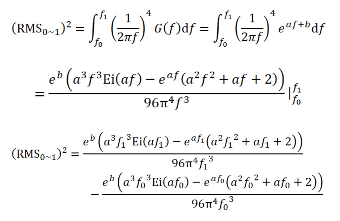
Displacement (Linear-Log)
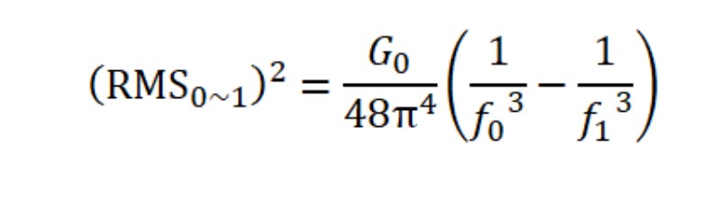
To calculate the RMS from frequency range f0 to f1:

If G0 = G1, a = 0:








